.avif)
The beta factor is defined as a key performance indicator in finance and capital market theory. It assesses the systematic risk for the risk taker in a financial investment. This measure quantifies the systematic risk of a share or a portfolio. It measures the sensitivity of the security's returns to fluctuations in the market as a whole. In business valuation, the beta factor is relevant in determining the cost of capital and capitalization rates.
In the context of the Capital Asset Pricing Model (CAPM), the beta factors represent the risk measure for the so-called systematic risk. This refers to the portion of the fluctuation in a share return that cannot be eliminated even within a fully diversified share portfolio. Risk-averse investors expect compensation for this part of the risk in the form of a premium. This risk is measured by the normalized covariance of the equity return and the market return, i.e. the degree to which the fluctuation of the equity return and the total market return are in line. A higher beta value generally means a higher systematic risk and a higher expected return.
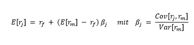
One of the core statements of the CAPM is the so-called security market line. This states that the expected return on a capital investment corresponds to the sum of the risk-free interest rate and a risk premium. The risk premium itself is the product of the equity risk premium and the beta factors. The following CAPM formula is used to calculate the beta factors and determine the security market line:

Business valuers can determine the beta factors easily and with legal certainty using the beta factor module from smartZebra. The composition of an expected return as the sum of the risk-free interest rate and the risk premium is considered typical in capital market theory. The simple formula for determining the expected return has important implications that make it easier to work with the beta factors and the CAPM:
The basic equation of the Security Market Line as one of the most important results of the CAPM is suitable for business valuation as it provides a theoretically sound measurement of risk and expected return. This relationship between the future cash flow and the current price of a capital investment is suitable for discounting future earnings, e.g. by using the DCF or Income approach. Despite theoretical and empirical points of criticism, the CAPM offers a parameter in the form of the beta factor that leaves little room for the subjective influence of the valuer.
A beta factor of 1.0 means that a company has the same risk as the market as a whole and a return equal to the market return can be expected. A beta factor of 0.3 shows that the company is more stable than the market as a whole, while a beta factor of 2.0 signals higher volatility and a higher expected return. A negative beta indicates a movement in the opposite direction to the overall market and is rarely observed.

Beta factors differ by sector due to specific risks and fluctuations. Volatile sectors such as technology and energy tend to have higher beta factors, while defensive sectors such as healthcare and consumer discretionary have lower beta factors. Data from smartZebra shows beta factors by sector over time.

The beta is significantly influenced by the business risk and gearing. For the business valuation, the raw beta is first adjusted for the influence of gearing (unlevered beta) and then adjusted with the gearing of the valuation object (released beta). This makes it clear that gearing plays a major role in determining the beta factors.

Finally, the unlevered beta, which is often averaged over the peer group companies, is relevered with the gearing of the valuation object.

These explanations make it clear that the level of beta factors is significantly influenced by gearing. Even at a leverage ratio of 100%, i.e. with equal proportions of equity and Debt, unlevered and levered beta differ significantly.
Against the background of IDW Practice Note 2/2018, the use of a debt beta when undervaluing and relevering the beta factors is discussed. Debt beta takes into account the fact that lenders assume part of the operating business risk in the case of non-default-proof debt, thereby relieving the burden on equity providers.
Read more on the topic here: Debt beta in business valuation
In valuation practice, the beta factors are often determined from historical data. However, if the historically measured beta is a poor estimate of the expected beta, an adjusted beta should be used. The simplest method is the Blume adjustment, in which the empirically observable beta is adjusted.
Read more on the topic here: Raw beta vs. adjusted beta
The CAPM is based on risk-averse investors. The total beta approach offers an elegant solution for the valuation of publicly traded companies by incorporating the entire risk of a company.
Read more on the topic here: Is total beta an alternative in SME valuation?
The determination of the beta factors is often called into question by the lack of comparability of the valuation object with publicly traded companies. Nevertheless, the beta reflects the influence of many factors that ultimately reflect the risk expectations of market participants.
Read more on the topic here: Beta factors based on a listed peer group
The beta factor is a key indicator for assessing the systematic risk of an investment and plays an important role in business valuation. Careful calculation and interpretation of the beta factors and the use of smartZebra's tools can improve the accuracy of valuations and make the process more efficient.
The beta factors measures the systematic risk of a share or portfolio compared to the overall market. It is decisive for the assessment of the cost of capital and capitalization rates.
The beta factors is calculated by the normalized covariance of the stock return and the market return divided by the variance of the market return.
Unlevered beta adjusts the beta factor for the influence of gearing, while relevered beta adjusts the beta factor to the gearing of the valuation object.
Beta factors vary depending on industry-specific risks and fluctuations. Volatile industries such as technology have higher beta factors, while defensive industries such as healthcare have lower beta factors.
The total beta approach takes into account the entire risk of a company and is often used to value unlisted SMEs.
smartZebra provides tools and data that simplify the complex process of beta calculation, enable accurate analysis and ensure compliance requirements are met.